Главная
История техники
Новинки техники
Практика - теория
Ситуации

Какой должен быть угол канализационной трубы

Строительство дома включает в себя и подвод инженерных коммуникаций, в частности, канализационной системы. Поскольку сточные воды движутся самотеком, угол канализационной трубы имеет решающее значение. При горизонтальной прокладке труб без уклона жидкость из-за жиров будет задерживаться, а при слишком большом наклоне жидкость не будет смывать твердые частицы, трубопровод заилится и произойдет засор, также возможен срыв воды в сифонах.

угол наклона канализационной трубы

Разводка системы канализации в доме и из дома происходит с обязательным наклоном труб

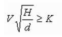
Расчет угла наклона

Какой наклон канализационной трубы? Ответ дают СНиПы. При расчете используются следующие показатели:

  • V – скорость движения стоков, м/ с (применяется не менее 0,7);
  • H – высота наклона трубы, мм;
  • d – диаметр, мм;
  • K – коэффициент наполнения(для труб из стекла и пластмассы = 0,5; для труб из других материалов = 0,6).

Формула для расчета:

угол канализационной трубы

Чтобы не проводить расчет самостоятельно можно обратиться снова к СНиП 2.04.01-85, где в п.18.2 указан необходимый уклон.

какой наклон канализационной трубы

Минимальный уклон при различных диаметрах труб

Максимальный наклон трубы канализации тоже имеет свою границу. Уклон не превышает 0,15 согласно п.18.3  вышеуказанных СНиП. Исключение составляют отводы от приборов, если длина отвода до 1,5 м.

Увидев эти цифры, возникает вопрос: а где же угол в привычных градусах? Десятичная дробь обозначает отношение высоты снижения трубы к длине. Перемножив длину трубы на значение уклона, получим высоту уклона. Такой расчет значительно упрощает прокладку канализационного трубопровода.

Монтаж канализации внутри и снаружи помещений

Описание особенностей внутренней системы

Сантехнические приборы, используемые внутри помещений:

  • умывальник;
  • душевая кабина;
  • ванна;
  • биде;
  • писсуар;
  • унитаз;
  • мойка.

Для всех приборов, кроме унитаза, применяется уклон 0,03 (труба диаметром 50 мм). Для стока из унитаза применяют уклон 0,02 (труба диаметром 100 мм). При оптимальном уклоне твердые частицы находятся во взвешенном состоянии и не налипают на стенки.

Избежать засора труб помогает система самоочистки. Жидкость при движении с оптимальной скоростью и при достаточной степени заполнения трубы вымывает налипающие отходы. Угол наклона обеспечивает нужную скорость и наполнение трубы. Увеличение угла ведет к снижению наполняемости и возрастанию скорости прохождения жидкости. Уменьшение наклона трубы приведет к обратному. В одном и другом случае эффективность самоочистки снижается.

Внутренняя разводка осуществляется с учетом оптимальных уклонов для горизонтальных участков. Стояки устанавливаются вертикально под углом 90о.

Наклон канализационной трубы поможет установить уровень: лазерный или пузырьковый. Применяют и специализированные уровни, упрощающие монтаж канализации.

Требования при прокладке канализации:

  • меньше стыков и поворотов;
  • раструбы (фасонные части) направляются навстречу движения жидкости;
  • укорачивание и резка раструбов не допускается;
  • диаметр трубы определяет количество сантехприборов;
  • обязательный уклон;
  • крепление к стене или полу;
  • наличие вентиляции (фановой) или обратного воздушного клапана;
  • установка «прочистки» на поворотах, в местах изменения уклона (в случае применения чугунных труб).

угол труба канализация

Монтаж внутри помещений

Наружная канализация

В системах наружной канализации применяют трубы:

  • 150 мм с уклоном 0,08;
  • 200 мм с уклоном 0,07.

Существует еще угол наклона канализационной трубы в особых условиях, когда из-за препятствия нельзя создать необходимый уклон.

Допустимый уровень снижения для труб:

  • 150 мм- 0,07;
  • 200 мм- 0,05.

Система наружной канализации прокладывается с учетом глубины промерзания почвы, но учитывая, что стекающая жидкость преимущественно теплая, рекомендуемая глубина: минус 30 см от глубины промерзания в месте расположения строящегося объекта. Прокладывая трубу, следует избегать изгибов. Любой изгиб является возможным местом будущего засора. Выкопав траншею, делают песчаную прокладку толщиной около 5 см. Прогибы трубы недопустимы. Максимальная протяженность – 15 м. Если расстояние больше, то необходимо делать промежуточный колодец объемом 2 м3. Также смотровые колодцы делают в местах поворотов.

Систему наружной канализации рекомендуется прокладывать после окончания строительства, чтобы не повредить находящиеся на небольшой глубине трубы. Допускается использование пластиковых труб, если над местом их залегания не будет движения транспорта. При покупке пластиковых труб необходимо точно знать глубину укладки, так как существуют ограничения по максимальной глубине залегания.

наклон трубы канализации

Виды укладки труб канализации

В случае если диаметр трубы до 0,5 м, трубы укладывают открытым способом, а при большем диаметре применяют бетонные лотки. Для экономии средств копают максимально узкую траншею.

При задании оптимальных параметров система угол – труба – канализация работает безотказно.

Применив на практике все необходимые требования прокладки канализационной системы, можно не опасаться засоров, прогибов труб и долгие годы комфортно пользоваться таким благом цивилизации, не прибегая к услугам сервисных служб.

Copyright © 2003-2026, www.emomi.com